La Música Inaudible de la Mente
Dentro de cada uno de nosotros, se desarrolla una sinfonía incesante y extraordinariamente compleja. Es la música del pensamiento, una orquesta eléctrica donde miles de millones de neuronas se comunican en ritmos coordinados. Esta actividad rítmica, conocida como oscilaciones neuronales o «ondas cerebrales», es el lenguaje fundamental de la cognición. Tradicionalmente, la neurociencia ha entendido estas oscilaciones como el resultado del software cerebral: los patrones de disparo de las neuronas y la intrincada red de sus conexiones. Sin embargo, un nuevo y audaz estudio sugiere que para entender completamente la música, debemos mirar el hardware: el propio entorno físico del cerebro, un ámbito donde la física y la biología se encuentran de formas inesperadas.
Estas ondas cerebrales no son un zumbido monolítico; forman un espectro de ritmos distintos, cada uno asociado con diferentes estados mentales y funciones corporales.
- Ondas Delta (0.5-4 Hz): El ritmo lento y profundo del sueño sin sueños, crucial para la consolidación de la memoria y los procesos homeostáticos básicos del cuerpo.
- Ondas Theta (4-8 Hz): El pulso de la memoria y la navegación espacial. Cuando recordamos un camino o formamos un nuevo recuerdo, las ondas Theta están trabajando, actuando como un GPS interno.
- Ritmos Alfa (8-13 Hz): La firma de la vigilia relajada. Cuando cerramos los ojos y calmamos la mente, las ondas Alfa dominan, indicando un estado de atención serena.
- Oscilaciones Beta (13-30 Hz): El zumbido de la concentración activa y el control motor. Estas ondas están presentes cuando estamos alerta, pensando activamente o planificando un movimiento.
- Ondas Gamma (30-100 Hz): El ritmo de alta frecuencia asociado con las funciones cognitivas superiores. Se cree que las ondas Gamma son responsables de «unir» diferentes entradas sensoriales (vista, sonido, tacto) en una única percepción coherente.
- Frecuencias más altas (Chi, >100 Hz): Oscilaciones ultrarrápidas que reflejan la actividad de circuitos neuronales muy localizados, insinuando la increíble velocidad de procesamiento que ocurre a microescala.
Durante décadas, los modelos computacionales han intentado replicar estos ritmos basándose únicamente en la dinámica de las redes neuronales. Sin embargo, han ignorado en gran medida una pregunta fundamental: ¿podrían las propiedades físicas del microambiente cerebral, los materiales de los que está hecho, influir o incluso ayudar a generar estas oscilaciones? Un estudio innovador de Gunther Kletetschka y Robert Bazala propone una respuesta afirmativa, dirigiendo nuestra atención a un actor sorprendente y diminuto presente en nuestro tejido cerebral.
Un Fantasma en la Máquina: Encontrando Magnetismo en el Cerebro
En 1992, el geofísico Joseph Kirschvink hizo un descubrimiento que sorprendió a la comunidad científica: encontró cristales de magnetita, un mineral de hierro fuertemente magnético, en el tejido del cerebro humano. Era como encontrar diminutas agujas de brújula incrustadas en nuestra maquinaria neuronal. Desde entonces, la investigación ha revelado que estas nanopartículas magnéticas no son una rareza, sino una característica constante del cerebro, con una fascinante doble historia de origen.
Una parte de esta magnetita es biogénica, lo que significa que es producida por nuestro propio cuerpo. Se cree que se forma a través de procesos que involucran a la ferritina, la principal proteína de almacenamiento de hierro del cuerpo. Estas partículas endógenas suelen tener formas cristalinas bien definidas, o euédricas. La otra fuente es ambiental. Partículas de magnetita microscópicas, generadas por la combustión a alta temperatura en los motores de los vehículos y en procesos industriales, son un componente común de la contaminación del aire en las ciudades. Estas partículas, a menudo esféricas y fusionadas, pueden ser inhaladas y viajar directamente al cerebro a través del nervio olfativo o cruzando la barrera hematoencefálica. Esta conexión establece una vía física directa y preocupante desde la contaminación ambiental hasta el microambiente de nuestras neuronas.
Lo más intrigante es dónde se encuentran estas partículas. No están distribuidas al azar; se localizan en algunas de las áreas más críticas para la función cerebral, como se detalla en la investigación.
Tabla 1: Ubicación y tamaño aproximado de partículas de magnetita encontradas en estructuras neuronales
| Ubicación Clave en el Cerebro | Importancia Funcional de Encontrar Magnetita Allí |
| Cerca de las sinapsis | En el corazón de la comunicación neurona a neurona, donde se transmiten las señales eléctricas y químicas. |
| Mitocondrias | Dentro de las «centrales eléctricas» de la célula, implicando un posible papel en el metabolismo energético celular. |
| Hipocampo | En una región cerebral fundamental para la formación de la memoria y el aprendizaje. |
| Placas amiloides | Incrustadas en las acumulaciones de proteínas que son un sello distintivo de la enfermedad de Alzheimer. |
La presencia de magnetita biogénica, conservada a lo largo de la evolución en muchas especies que la utilizan para la magnetorrecepción (la capacidad de sentir los campos magnéticos), sugiere una posibilidad fascinante. Quizás en los humanos sea un rasgo vestigial, el eco de un antiguo sentido de la orientación magnética. O, como propone el nuevo estudio, quizás esta capacidad ha sido cooptada para una función completamente diferente: sintonizar los ritmos de nuestros pensamientos.
La Hipótesis Central: Una Resonancia Perfecta
La propuesta en el corazón del estudio de Kletetschka y Bazala es a la vez audaz y elegante, y se basa más en la física fundamental que en la biología compleja. La idea central gira en torno a un fenómeno llamado superparamagnetismo, donde la energía térmica del cuerpo es suficiente para que el campo magnético de una nanopartícula de magnetita se invierta continuamente a una frecuencia predecible.
Esta frecuencia de «vibración» está gobernada por la ecuación de relajación de Néel, una fórmula ganadora de un Premio Nobel que calcula el tiempo que tarda en ocurrir esta inversión magnética (τn).

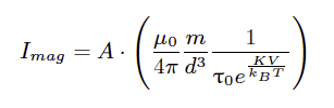
La ecuación nos dice que la «nota» que toca cada partícula depende de su volumen (V), sus propiedades magnéticas (K) y la temperatura (T). Como la temperatura es estable, el tamaño de la partícula es el factor clave que la «afina» a una frecuencia específica. Pero, ¿cómo puede esta vibración magnética influir en una neurona? Según la ley de Faraday, un campo magnético cambiante induce una corriente eléctrica. El estudio modela este efecto con una segunda ecuación, que calcula la corriente inducida (Imag) que estas vibraciones generan y que podría estimular la célula.

Esta corriente inducida es el eslabón perdido entre la física de la partícula y la biología de la neurona. Con estas dos ecuaciones, el estudio conecta el tamaño de una partícula con una frecuencia de vibración específica, y a su vez, esa vibración con una corriente eléctrica capaz de influir en la actividad neuronal.
Aquí es donde reside el momento «¡Eureka!» del estudio. Los investigadores calcularon las frecuencias de fluctuación para partículas de magnetita de diferentes tamaños y descubrieron una correspondencia asombrosa: las partículas dentro de un rango de tamaño muy específico, de 19 a 24 nanómetros, tienen frecuencias de fluctuación naturales que abarcan perfectamente todo el espectro conocido de oscilaciones neuronales, desde 1 Hz hasta 1000 Hz.
Esta relación matemática directa funciona como una especie de «Piedra de Rosetta», conectando el mundo físico del tamaño de las partículas con el mundo cognitivo de los estados cerebrales.
Tabla 2: El tamaño de partícula determina matemáticamente la frecuencia de fluctuación.
| Banda de Oscilación Neuronal | Frecuencia (Hz) | Estado Cognitivo Asociado | Tamaño Requerido de la Partícula de Magnetita (nm) |
| Delta | 0.5-4 | Sueño profundo, consolidación de la memoria | 23.0-24.0 |
| Theta | 4-8 | Formación de la memoria, navegación espacial | 22.4-23.0 |
| Alfa | 8-13 | Vigilia relajada, calma | 21.8-22.4 |
| Beta | 13-30 | Pensamiento activo, concentración | 21.0-21.8 |
| Gamma | 30-100 | Percepción, funciones cognitivas superiores | 20.2-21.0 |
| Chi | 100-1000 | Actividad de microcircuitos locales | 19.0-20.2 |
Esta correspondencia directa entre el tamaño físico y la frecuencia biológica es uno de los pilares del estudio, y se visualiza claramente en la figura, que mapea el diámetro de las partículas con cada una de las bandas de oscilación neuronal.

La fuerza de esta hipótesis radica en su base en una ley física fundamental. No es simplemente una correlación observada; es una predicción matemática. Si una partícula de 23.5 nm está presente en el microambiente neuronal, la física dicta que debe fluctuar magnéticamente dentro del rango de las ondas Delta. La gran pregunta que se plantea es: ¿está el cerebro «escuchando» estas fluctuaciones?.
De la Teoría a la Neurona Virtual: Simulando el Micromundo
Para probar si estas fluctuaciones magnéticas teóricas podrían tener un efecto real en una neurona, los investigadores recurrieron a simulaciones computacionales. Para comprender la escala de esta posible influencia, la figura del estudio es particularmente reveladora. Muestra cómo el campo magnético de una sola partícula de magnetita, aunque diminuto, es lo suficientemente fuerte en su entorno inmediato como para crear un «volumen magnéticamente activo» que puede abarcar una sinapsis entera. Es dentro de este volumen donde las fluctuaciones magnéticas podrían inducir las corrientes eléctricas que afectan a la neurona.

Los investigadores crearon un modelo digital de una pequeña porción de tejido cerebral, un volumen de 500×500×50 nanómetros que representa una región sináptica más amplia. Dentro de este espacio virtual, distribuyeron 200 nanopartículas de magnetita con tamaños que variaban entre 19 y 24 nm.
En el centro de este entorno magnéticamente activo, colocaron una neurona virtual. Este modelo de neurona se basó en el formalismo de Hodgkin-Huxley, un modelo ganador del Premio Nobel que es el estándar de oro para simular el comportamiento eléctrico fundamental de una neurona. La pregunta clave era: ¿podría el campo magnético fluctuante de las nanopartículas «empujar» a la neurona para que disparara un potencial de acción, la señal eléctrica básica de la comunicación neuronal?
Según la ley de inducción de Faraday, un campo magnético cambiante induce una corriente eléctrica. Los investigadores calcularon la pequeña corriente inducida (Imag) por el conjunto de partículas y la añadieron a la ecuación de la neurona virtual. Los resultados de estas simulaciones de Monte Carlo fueron sorprendentes y profundamente reveladores.
El hallazgo más crítico no fue que las partículas pudieran hacer disparar a la neurona, sino cómo lo hacían. El equipo realizó múltiples simulaciones, cada una con el mismo número de partículas y la misma distribución de tamaños, pero cambiando su disposición espacial aleatoria. Descubrieron que la disposición espacial era el factor determinante.
- En algunas simulaciones, las partículas estaban distribuidas de tal manera que sus efectos magnéticos se cancelaban entre sí. La neurona permanecía en reposo, sin disparar.
- En otras simulaciones, una configuración espacial particular hacía que los campos magnéticos inducidos se sumaran constructivamente en la membrana de la neurona. Esta corriente combinada, aunque diminuta (alrededor de 0.55 pA), era suficiente para superar el umbral de la neurona y hacerla disparar potenciales de acción repetidamente.
Este resultado, demuestra que no es simplemente la presencia o la cantidad de magnetita lo que importa, sino su geometría precisa a nanoescala. La función emerge de la disposición espacial. Esto sugiere una capa de complejidad y procesamiento de información en el cerebro que antes era inimaginable, una donde la arquitectura física del entorno sináptico podría desempeñar un papel activo en la modulación de la actividad neuronal.
Las Consecuencias de Largo Alcance
Si esta hipótesis teórica se confirma, sus implicaciones se extenderían por la neurociencia, la salud pública y la tecnología futura.
Una Nueva Lente sobre la Enfermedad Cerebral y el Envejecimiento
Se sabe que los niveles de hierro y magnetita aumentan en el cerebro con la edad y están particularmente concentrados en las patologías de enfermedades neurodegenerativas como el Alzheimer. De hecho, se ha encontrado magnetita directamente dentro de las placas de proteína amiloide. Esto plantea una pregunta crucial: ¿podría el deterioro cognitivo asociado con estas condiciones no solo deberse a la muerte celular o a las proteínas tóxicas, sino también a una «desafinación» de la sinfonía rítmica del cerebro? La acumulación de partículas de magnetita de tamaño o distribución incorrecta podría interrumpir los delicados patrones oscilatorios necesarios para una cognición saludable, quizás contribuyendo al estrés oxidativo que se sabe que daña las neuronas.
El Zumbido del Mundo Moderno
De manera provocadora, el estudio señala que las partículas de magnetita en el rango de 20.2 a 21.0 nm resuenan en la banda Gamma (30-100 Hz), que se solapa con las frecuencias de 50-60 Hz de las redes eléctricas que alimentan nuestro mundo. Este hallazgo proporciona, por primera vez, un mecanismo físico plausible a través del cual los campos electromagnéticos (CEM) ambientales de baja frecuencia podrían interactuar con el cerebro.
Es fundamental contextualizar este hallazgo con responsabilidad. El abrumador consenso científico, basado en décadas de investigación por organizaciones como la Organización Mundial de la Salud (OMS) y el Instituto Nacional del Cáncer de EE. UU., es que no hay evidencia concluyente y consistente de que la exposición a CEM de bajo nivel de fuentes como líneas eléctricas o Wi-Fi sea perjudicial para la salud humana. El estudio de Kletetschka y Bazala no refuta este consenso. Más bien, propone un candidato para un mecanismo de interacción que podría ser demasiado débil para causar efectos biológicos detectables en la población general, o que solo es relevante bajo condiciones muy específicas e individuales (como la carga y distribución particular de magnetita en el cerebro de una persona). En lugar de generar alarma, este hallazgo introduce una nueva y fascinante variable en un debate de larga data, destacando la complejidad de las interacciones entre la biología y el entorno físico.
El Futuro de la Neurotecnología
Mirando hacia el futuro, si este mecanismo puede ser comprendido y aprovechado, podría abrir la puerta a neurotecnologías revolucionarias. Se podrían imaginar terapias no invasivas donde campos magnéticos externos, sintonizados con precisión, se utilicen para mejorar o suprimir selectivamente ciertas ondas cerebrales al interactuar con las poblaciones de magnetita correspondientes. Esto podría ofrecer nuevos tratamientos para la epilepsia, la depresión o los trastornos de atención que vayan más allá de los fármacos o los electrodos invasivos.
Conclusión: Un Nuevo Mapa para un Viejo Misterio
El estudio de Kletetschka y Bazala presenta un puente teórico poderoso y matemáticamente fundamentado entre el mundo físico de las nanopartículas y el mundo biológico de la función neuronal. Su mayor contribución, en esta etapa, es la formulación de una hipótesis audaz y comprobable que obliga a la neurociencia a considerar el cerebro no solo como una computadora biológica, sino también como un sistema físico complejo.
Los propios autores subrayan que este es un modelo teórico que requiere una validación experimental rigurosa para establecer una causalidad biológica. El camino a seguir implica experimentos cruciales: combinar imágenes de alta resolución del tejido cerebral con grabaciones electrofisiológicas para buscar correlaciones directas entre el tamaño de las partículas y las frecuencias de las ondas; realizar estudios in vitro con cultivos neuronales a los que se añaden partículas de magnetita sintéticas de tamaños específicos; y llevar a cabo estudios comparativos de las distribuciones de magnetita en cerebros sanos frente a cerebros afectados por enfermedades.
Esta investigación abre un nuevo y emocionante capítulo en nuestra búsqueda para entender la mente. Nos recuerda que los secretos de nuestros pensamientos, recuerdos y quizás incluso nuestra conciencia, podrían estar escritos no solo en nuestros genes y sinapsis, sino también en la danza silenciosa y rítmica de imanes microscópicos que residen en lo más profundo de nuestro cerebro. La sinfonía continúa, y ahora tenemos una nueva partitura para empezar a descifrarla.
Fuente: Santiago Ramon y Cajal.
Leer más artículos similares.


